신기한 전기_2 : 벡터란 무엇인가
2022. 9. 23. 20:09ㆍ쉬운전기
우선 스칼라와 벡터를 비교해 보면
스칼라는 크기만 있고, 벡터는 크기와 방향을 포함한 개념이라는 것
따라서 스칼라를 사용하는 것들은 키, 몸무게, 일, 전압, 속력 등이 있고
벡터를 사용하는 것들은 힘, 전기장, 중력장, 속도 등이 되겠다
이제 벡터에 대해 좀 더 자세히 알아보자
참고로, 아래 타이핑된 글자에서 편의상 벡터를 알파벳의 굵은체로 표시한다
그림 내에서도 벡터는 굵은체로 표시된다
1) 벡터의 표시 : 붉은 화살표처럼 크기와 방향을 그리고 벡터 A라고 읽는다

2) 벡터의 수학적 표현
A = (a1, a2,a3) = a1i + a2j + a3k
여기서 i, j, k는 단위벡터인데 크기는 1이고 각각 x, y, z축 방향을 표시한다

3) 벡터의 성질
1. 벡터는 크기와 방향을 고정한 채 어디로든 이동이 가능하다

2. 벡터 A와 방향이 반대인 벡터는 -A라고 쓴다

3. 벡터의 계산
i) 벡터의 합 구하기 : 평행사변형을 생각하면 된다


ii) 벡터의 차 구하기 : 빼어지는 쪽을 반대 방향으로 표시하고 평행사변형으로 답을 구한다

iii) 벡터와 스칼라(상수)의 곱

4 X a = 4a
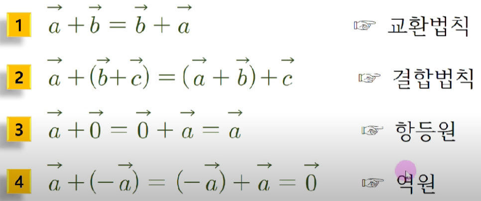
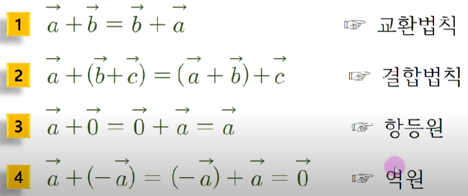
iv) 벡터의 기본 성질

전기혁명이란 사이트를 통해 공부한 것을 간단히 정리해 보았다
'쉬운전기' 카테고리의 다른 글
| 전자기 유도 및 유도전류 (0) | 2022.09.23 |
|---|---|
| 신기한 전기_3 : 벡터장을 수식으로 이해하자 (2) | 2022.09.23 |
| 신기한 전기_1 : 양전하와 음전하, 그리고 전기력 (0) | 2022.09.23 |
| 앙페르의 오른손(오른나사) 법칙 (0) | 2022.09.23 |
| 플레밍의 법칙 (왼손법칙, 오른손법칙) (0) | 2022.09.23 |